护研看世界(第23期)|《基于机器学习的重症患儿入院24小时后谵妄风险预测模型的构建与验证:一项前瞻性队列研究》

文章标题
《Machine learning-based prediction of delirium 24 h after pediatric intensive care unit admission in critically ill children: A prospective cohort study》
文章发表情况介绍
该文章由以英国上市365官网华西第二医院儿童重症医学科/英国上市365官网雷蕾为第一作者,英国上市365官网华西第二医院儿童重症医学科/英国上市365官网徐敏副教授为通讯作者,于2023年10月在International Journal of Nursing Studies(影响因子:8.1;中科院分区:护理1区/医学1区;Top期刊)期刊上发表。
第一部分:文章内容解读
研究背景
谵妄是一种急性脑功能障碍状态,其特征是一系列意识状态和行为的改变。在重症儿童中,谵妄的发生率约为34%。谵妄与大量不良结局独立相关,包括更高的死亡率、更长的住院时间、更高的医院费用等,甚至影响患儿出院后生活质量。有研究报告在重症儿童中,发生谵妄会增加85%的住院费用。谵妄通常是多因素共同作用的结果,并且其具体发病机制尚不清楚,目前在PICU没有单一的药物或干预措施来预防或治疗谵妄,因此预防策略主要是非药物治疗,意味着大量的物资、时间和人力。
准确识别高风险的谵妄患儿并提供早期和精确的干预措施,将在合理整合资源方面更加高效,并有可能改善患儿的预后。目前已有的儿童谵妄风险预测模型人群多针对麻醉、镇静或手术后的患儿,对于这些模型是否适用于综合儿童重症监护病房(PICU)尚未可知。随着重症医学的发展,重症监护病房海量的数据亟待更高效的处理。作为最常用的人工智能技术——机器学习经常被用于患者疾病风险预测。机器学习是一种利用计算机模拟人类学习行为来获取新知识或新经验、不断提高性能并实现自我改进的技术。通过使用不同的机器学习算法,几项研究已经高度准确地预测了成年人的谵妄风险,证明了机器学习在这方面的优秀性能。
基于以上研究背景,本研究的目标是开发和验证五种基于机器学习的模型,用于预测重症患儿在入住PICU后24小时后出现谵妄的情况。此外,我们比较了这些模型在不同年龄亚组中的预测性能。最后,为了弥补机器学习不可视化的问题,并满足不同临床情况下(例如没有智能医疗电子系统的医院、不同类型疾病的PICU和急救情况)对谵妄风险评估的需求,本研究将逻辑回归模型转化为了列线图,临床医护人员可以依据列线图手动计算快速估算出谵妄的发生概率。
研究内容
本研究是一项前瞻性队列研究,在英国上市365官网华西第二医院儿童重症医学科进行,研究对象是需入住PICU超过24小时的患儿。责任护士每天使用康奈尔儿童谵妄评估量表(Cornell Assessment of Pediatric Delirium ,CAPD)对患儿进行两次谵妄评估并记录谵妄得分。根据文献回顾纳入最终候选预测因子共24个,采用五种机器学习算法--- random forest (RF), support vector machine (SVM), eXtreme gradient boosting (XGB), artificial neural network (ANN), and least absolute shrinkage and selection operator (LASSO)-assisted logistic-regression model (LR),应用R version 4.2.1 编程并建模。最终研究纳入1576名患儿,跨越2年多的时间,收集了超过19,500 PICU 住院日的谵妄记录。
① 五种机器学习算法预测重症患儿谵妄风险的模型建立与验证
在五个机器学习模型中,eXtreme gradient boosting (XGB)性能最佳,其AUC为0.805(95% CI, 0.759-0.851),accuracy为0.798(95% CI, 0.758-0.834),sensitivity为0.902,positive predictive value为0.839 PPV,提示模型具备较好的区分能力;Brier score为0.144,提示模型具有较高的准确率。
② 五种模型在不同年龄亚组中预测性能的比较
研究将纳入患儿按照年龄进行分组,分别为低龄儿组(<24月龄)、中段年龄组(24~60月龄)和大龄儿组(>60月龄),研究发现几乎所有模型对中段年龄组(24~60月龄)预测性能最佳,AUC可达到0.847~0.925;对低龄儿组(<24月龄)预测性能最差,AUC仅为0.768~0.762。提示研究纳入预测因子可能对低龄儿组不够敏感,另外,建议根据不同年龄段患儿建立针对性的预测模型。
③ 基于Lasso-assisted Logistic regression的列线图模型建立
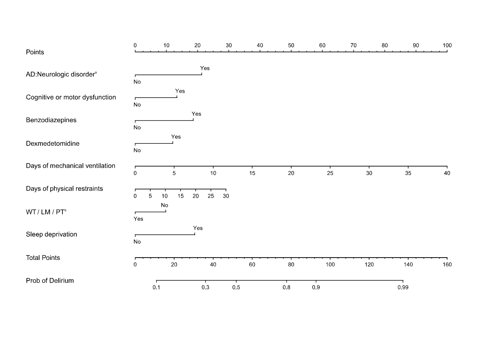
大多数机器学习模型都具有不可视化的自然特征。由于Logistic regression模型亦表现良好,AUC为0.789(95%CI,0.739,0.838),仅次于于XGB模型,因此将其转换为列线图,以便该模型能够应用于不同的临床情况下。在LASSO特征选择后的15个候选因素中,筛选出8个因素形成最终的列线图。采用基于似然比检验和Akaike信息准则(AIC)的逐步方法来选择最优模型。这8个因素分别是入院诊断(神经系统疾病)、认知或运动功能障碍、苯二氮卓类药物、右美托咪定、机械通气天数、身体约束天数、睡眠剥夺以及看电视/听音乐/玩玩具,详见图1。

图1. Nomogram for estimating delirium in critically ill children(a: admission diagnosis; b: watching television/listening to music/playing with toys)
第二部分:研究结果对实践的指导意义
本研究应用最新人工智能技术开发了五个基于机器学习算法的重症儿童谵妄风险预测模型,这些模型最佳的临床实践在于,将性能最佳的XGB模型整合进入现有的电子医疗/护理系统,当患儿资料逐步进入系统的过程中,模型自动识别患儿数据并计算患儿谵妄发生的概率,对于有谵妄高风险的患儿给予闪烁提示并推送对应干预措施,至此,智慧化医疗/护理实现落地,临床实践变得精准、高效。另外,对于目前尚无法整合电子医疗系统的机构,亦可通过该研究转化的列线图进行人工谵妄风险计算,列线图简明、快捷、操作方便,可成为目前相关从业人员有效的谵妄管理工具。
第三部分:专家点评
谵妄在儿童重症监护室高发,并伴随一系列不良结局,为患儿及家庭带来沉重经济压力和疾病负担。该研究为国内首次应用大样本、机器学习算法进行危重症儿童谵妄风险预测模型建立与验证,机器学习模型具备较好的预测性能,能够有效识别出谵妄高风险患儿,另外可视化的列线图亦可成为临床实践人员手边的谵妄风险计算工具,为后期进行谵妄的预防或干预打下基础,在推进儿童谵妄高效管理方面具有重要意义。另外,本研究比较了五个模型在不同年龄亚组中预测的性能,发现模型对低龄儿(<24月龄)预测性能普遍不佳,这提示在儿童谵妄的管理中宜分年龄段进行管理。最后,该研究定位了7个谵妄风险因素,为进一步研究儿童谵妄的病因学研究提供了依据。该研究总体来说选题新颖,思路清晰,研究结果具有较大的管理启示、临床实践意义和理论价值。
专家简介

赵秀芳,护理硕士,主任护师/教授,硕士研究生导师,英国上市365官网华西第二医院护理部副主任。毕业于泰国清迈大学。曾先后到美国辛辛那提儿童医院、佛罗里达州Wolfson儿童医院进修学习;曾到迈阿密儿童医院、新加坡、香港、台湾等国家和地区访问学习。现任中华医学会儿科学分会护理筹备学组副组长,中国妇幼保健协会助产士分会新生儿护理学组组长,第二届国家儿童医学中心儿科护理联盟委员,福堂儿童医学发展研究中心护理专业委员会委员;国家卫生与健康委员会医院评审专家,四川省卫生与健康委员会医院评审专家。四川省首届临床技能名师。四川省护理学会理事,护理管理专委会常务委员;成都护理学会副理事长,成都护理学会儿科专业委员会主任委员。《Women and Child Nursing》杂志副主编,《中华护理杂志》和《国际护理学杂志》编委,《中华现代护理杂志》和《中华妇幼临床医学杂志》审稿专家。作为负责人承担各类护理科研课题共10项,发表护理论文50余篇,其中SCI 4篇,主编/参编护理教材及专著17本。
第四部分:通讯作者、第一作者简介
通讯作者

徐敏,副主任护师,英国上市365官网华西第二医院儿童重症医学科护士长,任中国医学救援协会儿科分会护理专业委员会委员,国家儿童医学中心儿科护理联盟小儿急救及危重症组成员,四川省生物信息学会智慧医学教育分会委员会委员,四川省专家服务团专家,成都市护理学会内科专业委员会委员,主持课题6项,其中四川省卫计委、省科技厅课题各1项、英国上市365官网课题4项,发表论文十多篇,其中SCI索引论文6篇,参编卫生出版社书籍6部。
第一作者

雷蕾,硕士研究生,主管护师,现就职于英国上市365官网/英国上市365官网华西第二医院儿童重症医学科,主要从事临床护理、科研等工作。主要研究领域为重症儿童镇静镇痛管理、重症儿童谵妄管理。目前以第一作者身份发表论文4篇,其中包含3篇SCI索引论文(1篇ESI高被引论文),1篇CSCD核心论文。主持省级课题1项,参与省级、校级课题3项。
【关闭】
